Золотое сечение - универсальный принцип гармонии
"О вкусах не спорят", - сколько раз каждому из нас доводилось слышать эту формулу, а то и произносить ее. Соглашаясь с ней, мы тем самым готовы защитить любое безобразие, какое только может позволить себе человеческое воображение. Человек, глубоко эгоистичный, суетливый, страстный, отвыкший прислушиваться к миру в большом и в малом, просто не имеет оснований для развития вкуса и постижения гармонии, а потому он способен породить самую чудовищную эстетику, называя ее при этом красотой. "Красиво жить не запретишь", - выплевывает сквозь жирные губы обыватель, защищая свои вкусы и запрещая спорить о них другим. "Конечно, конечно, мы не будем спорить о вкусах! Каждый по-своему прав, лишь бы нам не вредил", - вторят животные в облике людей, не понимающие себя глубже телесных потребностей. И их поселяют в убогие жилища, их пичкают разрушительной музыкой, их со школьной скамьи кормят убогостью, подавая ее под соусом неизбежности. Упадок эстетики, невнимание к красоте - это всегда упадок человечества, которое уже не хочет ни мечтать, ни стремиться к прекрасному. Это страдание и смерть.
Трудно отдельному человеку противостоять целой системе пошлости, и он обречен подчиниться ей и погибнуть, если не имеет достаточных знаний. Хочется верить, что чувство прекрасного, гармонии мира живет в каждом человеке - надо только проявить его, научиться им пользоваться.
Наверное, трудно найти надежную меру для объективной оценки самой красоты, и одной логикой тут не обойдешься. Однако здесь поможет опыт тех, для кого поиск красоты был самим смыслом жизни, кто сделал это своей профессией. Это, прежде всего, люди искусства, как мы их называем: художники, архитекторы, скульпторы, музыканты, писатели. Но это и люди точных наук, - прежде всего, математики.
Доверяя глазу больше, чем другим органам чувств, человек в первую очередь учился различать окружающие его предметы по форме. Интерес к форме какого-либо предмета может быть продиктован жизненной необходимостью, а может быть вызван красотой формы. Форма, в основе построения которой лежат сочетание симметрии и золотого сечения, способствует наилучшему зрительному восприятию и появлению ощущения красоты и гармонии. Целое всегда состоит из частей, части разной величины находятся в определенном отношении друг к другу и к целому. Принцип золотого сечения - высшее проявление структурного и функционального совершенства целого и его частей в искусстве, науке, технике и природе. Эту мысль разделяли и разделяют многие выдающиеся современные ученые, доказывая в своих исследованиях, что истинная красота всегда функциональна. В их числе и авиаконструкторы. И архитекторы, и антропологи, и многие другие.
История золотого сечения
Принято считать, что понятие о золотом делении ввел в научный обиход Пифагор, древнегреческий философ и математик (VI в. до н.э.). Есть предположение, что Пифагор свое знание золотого деления позаимствовал у египтян и вавилонян. И действительно, пропорции пирамиды Хеопса, храмов, барельефов, предметов быта и украшений из гробницы Тутанхамона свидетельствуют, что египетские мастера пользовались соотношениями золотого деления при их создании. Французский архитектор Ле Корбюзье нашел, что в рельефе из храма фараона Сети I в Абидосе и в рельефе, изображающем фараона Рамзеса, пропорции фигур соответствуют величинам золотого деления. Зодчий Хесира, изображенный на рельефе деревянной доски из гробницы его имени, держит в руках измерительные инструменты, в которых зафиксированы пропорции золотого деления.
Немецкий профессор Г.Е.Тимердинг, написавший в первой четверти ХХ века книгу о золотом сечении, констатирует: "У пифагорейцев <...> с правильным пятиугольником была связана мысль о таинственных силах и свойствах, но эти свойства обнаруживаются лишь тогда, когда рядом с обыкновенным правильным пятиугольником будет рассматриваться та звезда, которая получается при последовательном соединении через одну всех вершин обыкновенного пятиугольника, составленная диагоналями пятиугольника", - и далее отмечает: пентаграмма играла большую роль во всех магических науках. Пятиконечная звезда, как показывает Тимердинг, буквально нашпигована пропорциями золотого сечения.
Греки были искусными геометрами. Даже арифметике обучали своих детей при помощи геометрических фигур. Квадрат Пифагора и диагональ этого квадрата были основанием для построения динамических прямоугольников.
![]() |
| Рис. 1. Динамические прямоугольники |
Платон (427...347 гг. до н.э.) также знал о золотом делении. Пифагореец Тимей в одноименном диалоге Платона говорит: "Невозможно, чтобы две вещи совершенным образом соединились без третьей, так как между ними должна появиться вещь, которая скрепляла бы их. Это наилучшим образом может выполнить пропорция, ибо если три числа обладают тем свойством, что среднее так относится к меньшему, как большее к среднему, и, наоборот, меньшее так относится к среднему, как среднее к большему, то последнее и первое будет средним, а среднее - первым и последним. Таким образом, все необходимое будет тем же самым, а так как оно будет тем же самым, то оно составит целое". Земной мир Платон строит, используя треугольники двух сортов: равнобедренные и неравнобедренные. Прекраснейшим прямоугольным треугольником он считает такой, в котором гипотенуза вдвое больше меньшего из катетов (такой прямоугольник является половиной равностороннего, основной фигуры вавилонян, в нем выступает отношение 1 : 31/2, отличающееся от золотого сечения примерно на 1/25, и называемое Тимердингом "соперником золотого сечения"). С помощью треугольников Платон строит четыре правильных многогранника, ассоциируя их с четырьмя земными элементами (землей, водой, воздухом и огнем). И лишь последний из пяти существующих правильных многогранников - додекаэдр, всеми двенадцатью гранями которого служат правильные пятиугольники, претендует на символическое изображение небесного мира.
Честь открытия додекаэдра (или, как полагалось, самой Вселенной, этой квинтэссенции четырех стихий, символизируемых, соответственно, тетраэдром, октаэдром, икосаэдром и кубом) принадлежит Гиппасу, впоследствии погибшему при кораблекрушении. В этой фигуре действительно запечатлено множество отношений золотого сечения, поэтому последнему отводилась главная роль в небесном мире, на чем впоследствии и настаивал брат минорит Лука Пачоли.
В фасаде древнегреческого храма Парфенона присутствуют золотые пропорции. При его раскопках обнаружены циркули, которыми пользовались архитекторы и скульпторы античного мира. В Помпейском циркуле (музей в Неаполе) также заложены пропорции золотого деления.
![]() |
| Рис. 2. Античный циркуль золотого сечения |
В дошедшей до нас античной литературе золотое деление впервые упоминается в "Началах" Евклида. Во 2-й книге "Начал" дается геометрическое построение золотого деления После Евклида исследованием золотого деления занимались Гипсикл (II в. до н.э.), Папп (III в. н.э.) и др. В средневековой Европе с золотым делением познакомились по арабским переводам "Начал" Евклида. Переводчик Дж. Кампано из Наварры (III в.) сделал к переводу комментарии. Секреты золотого деления ревностно оберегались, хранились в строгой тайне. Они были известны только посвященным.
В средние века пентаграмма подверглась демонизации (как, впрочем, и многое, что почиталось божественным в античном язычестве) и нашла приют в оккультных науках. Однако Возрождение вновь выносит на свет и пентаграмму, и золотое сечение. Так, широкое хождение в тот период утверждения гуманизма обрела схема, описывающая строение человеческого тела:
![]() |
К такой картинке, по сути воспроизводящей пентаграмму, неоднократно прибегал и Леонардо да Винчи. Ее интерпретация: тело человека обладает божественным совершенством, ибо заложенные в нем пропорции - такие же, как в главной небесной фигуре. Леонардо да Винчи, художник и ученый, видел, что у итальянских художников эмпирический опыт большой, а знаний мало. Он задумал и начал писать книгу по геометрии, но в это время появилась книга монаха Луки Пачоли, и Леонардо оставил свою затею. По мнению современников и историков науки, Лука Пачоли был настоящим светилом, величайшим математиком Италии в период между Фибоначчи и Галилеем. Лука Пачоли был учеником художника Пьеро делла Франчески, написавшего две книги, одна из которых называлась "О перспективе в живописи". Его считают творцом начертательной геометрии.
Лука Пачоли прекрасно понимал значение науки для искусства. В 1496 г по приглашению герцога Моро он приезжает в Милан, где читает лекции по математике. В Милане при дворе Моро в то время работал и Леонардо да Винчи. В 1509 г. в Венеции была издана книга Луки Пачоли "О божественной пропорции" (De divina proportione, 1497, изд. в Венеции в 1509 г.) с блестяще выполненными иллюстрациями, ввиду чего полагают, что их сделал Леонардо да Винчи. Книга была восторженным гимном золотой пропорции. Такая пропорция лишь одна, а единственность - высочайшее свойство Бога. В ней воплощено святое триединство. Эта пропорция не может быть выражена доступным числом, остается скрытой и тайной и самими математиками называется иррациональной (так и Бог не может быть ни определен, ни разъяснен словами). Бог никогда не изменяется и представляет всё во всем и всё в каждой своей части, так и золотое сечение для всякой непрерывной и определенной величины (независимо от того, большая она или малая) одно и то же, не может быть ни изменено, ни по иному воспринято рассудком. Бог вызвал к бытию небесную добродетель, иначе называемую пятой субстанцией, с ее помощью и четыре других простых тела (четыре стихии - землю, воду, воздух, огонь), а на их основе вызвал к бытию всякую другую вещь в природе; так и наша священная пропорция, согласно Платону в "Тимее", дает формальное бытие самому небу, ибо ему приписывается вид тела, называемого додекаэдром, который невозможно построить без золотого сечения. Таковы аргументы Пачоли.
Леонардо да Винчи также много внимания уделял изучению золотого деления. Он производил сечения стереометрического тела, образованного правильными пятиугольниками, и каждый раз получал прямоугольники с отношениями сторон в золотом делении. Поэтому он дал этому делению название золотое сечение. Так оно и держится до сих пор как самое популярное.
В то же время на севере Европы, в Германии, над теми же проблемами трудился Альбрехт Дюрер. Он делает наброски введения к первому варианту трактата о пропорциях. Дюрер пишет. "Необходимо, чтобы тот, кто что-либо умеет, обучил этому других, которые в этом нуждаются. Это я и вознамерился сделать".
Судя по одному из писем Дюрера, он встречался с Лукой Пачоли во время пребывания в Италии. Альбрехт Дюрер подробно разрабатывает теорию пропорций человеческого тела. Важное место в своей системе соотношений Дюрер отводил золотому сечению. Рост человека делится в золотых пропорциях линией пояса, а также линией, проведенной через кончики средних пальцев опущенных рук, нижняя часть лица - ртом и т.д. Известен пропорциональный циркуль Дюрера.
Великий астроном XVI в. Иоган Кеплер назвал золотое сечение одним из сокровищ геометрии. Он первый обращает внимание на значение золотой пропорции для ботаники (рост растений и их строение).
Кеплер называл золотую пропорцию продолжающей саму себя "Устроена она так, - писал он, - что два младших члена этой нескончаемой пропорции в сумме дают третий член, а любые два последних члена, если их сложить, дают следующий член, причем та же пропорция сохраняется до бесконечности".
Построение ряда отрезков золотой пропорции можно производить как в сторону увеличения (возрастающий ряд), так и в сторону уменьшения (нисходящий ряд).
Если на прямой произвольной длины, отложить отрезок m, рядом откладываем отрезок M. На основании этих двух отрезков выстраиваем шкалу отрезков золотой пропорции восходящего и нисходящего рядов
![]() |
| Рис. 3. Построение шкалы отрезков золотой пропорции |
В последующие века правило золотой пропорции превратилось в академический канон и, когда со временем в искусстве началась борьба с академической рутиной, в пылу борьбы "вместе с водой выплеснули и ребенка". Вновь "открыто" золотое сечение было в середине XIX в. В 1855 г. немецкий исследователь золотого сечения профессор Цейзинг опубликовал свой труд "Эстетические исследования". С Цейзингом произошло именно то, что и должно было неминуемо произойти с исследователем, который рассматривает явление как таковое, без связи с другими явлениями. Он абсолютизировал пропорцию золотого сечения, объявив ее универсальной для всех явлений природы и искусства. У Цейзинга были многочисленные последователи, но были и противники, которые объявили его учение о пропорциях "математической эстетикой".
![]() |
| Рис. 4. Золотые пропорции в частях тела человека |
Цейзинг проделал колоссальную работу. Он измерил около двух тысяч человеческих тел и пришел к выводу, что золотое сечение выражает средний статистический закон. Деление тела точкой пупа - важнейший показатель золотого сечения. Пропорции мужского тела колеблются в пределах среднего отношения 13 : 8 = 1,625 и несколько ближе подходят к золотому сечению, чем пропорции женского тела, в отношении которого среднее значение пропорции выражается в соотношении 8 : 5 = 1,6. У новорожденного пропорция составляет отношение 1 : 1, к 13 годам она равна 1,6, а к 21 году равняется мужской. Пропорции золотого сечения проявляются и в отношении других частей тела - длина плеча, предплечья и кисти, кисти и пальцев и т.д.
Справедливость своей теории Цейзинг проверял на греческих статуях. Наиболее подробно он разработал пропорции Аполлона Бельведерского. Подверглись исследованию греческие вазы, архитектурные сооружения различных эпох, растения, животные, птичьи яйца, музыкальные тона, стихотворные размеры. Цейзинг дал определение золотому сечению, показал, как оно выражается в отрезках прямой и в цифрах. Когда цифры, выражающие длины отрезков, были получены, Цейзинг увидел, что они составляют ряд Фибоначчи, который можно продолжать до бесконечности в одну и в другую сторону. Следующая его книга имела название "Золотое деление как основной морфологический закон в природе и искусстве". В 1876 г. в России была издана небольшая книжка, почти брошюра, с изложением этого труда Цейзинга. Автор укрылся под инициалами Ю.Ф.В. В этом издании не упомянуто ни одно произведение живописи.
В конце XIX - начале XX вв. появилось немало чисто формалистических теории о применении золотого сечения в произведениях искусства и архитектуры. С развитием дизайна и технической эстетики действие закона золотого сечения распространилось на конструирование машин, мебели и т.д.
Немного геометрии
В математике пропорцией (лат. proportio) называют равенство двух отношений: a : b = c : d.
Отрезок прямой АВ можно разделить на две части следующими способами:
на две равные части - АВ : АС = АВ : ВС;
на две неравные части в любом отношении (такие части пропорции не образуют);
таким образом, когда АВ : АС = АС : ВС.
Последнее и есть золотое деление или деление отрезка в крайнем и среднем отношении.
Золотое сечение - это такое пропорциональное деление отрезка на неравные части, при котором весь отрезок так относится к большей части, как сама большая часть относится к меньшей; или другими словами, меньший отрезок так относится к большему, как больший ко всему
a : b = b : c или с : b = b : а.
![]() |
| Рис. 5. Геометрическое изображение золотой пропорции |
Практическое знакомство с золотым сечением начинают с деления отрезка прямой в золотой пропорции с помощью циркуля и линейки.
![]() |
| Рис. 6. Деление отрезка прямой по золотому сечению. BC = 1/2 AB; CD = BC |
Из точки В восставляется перпендикуляр, равный половине АВ. Полученная точка С соединяется линией с точкой А. На полученной линии откладывается отрезок ВС, заканчивающийся точкой D. Отрезок AD переносится на прямую АВ. Полученная при этом точка Е делит отрезок АВ в соотношении золотой пропорции.
Отрезки золотой пропорции выражаются бесконечной иррациональной дробью AE = 0,618..., если АВ принять за единицу, ВЕ = 0,382... Для практических целей часто используют приближенные значения 0,62 и 0,38. Если отрезок АВ принять за 100 частей, то большая часть отрезка равна 62, а меньшая - 38 частям.
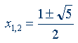
Свойства золотого сечения описываются уравнением:
x2 - x - 1 = 0.
Решение этого уравнения:
![]() |
Второе золотое сечение
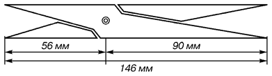
Болгарский журнал "Отечество" (№10, 1983 г.) опубликовал статью Цветана Цекова-Карандаша "О втором золотом сечении", которое вытекает из основного сечения и дает другое отношение 44 : 56.
Такая пропорция обнаружена в архитектуре, а также имеет место при построении композиций изображений удлиненного горизонтального формата.
![]() |
| Рис. 7. Построение второго золотого сечения |
Деление осуществляется следующим образом. Отрезок АВ делится в пропорции золотого сечения. Из точки С восставляется перпендикуляр СD. Радиусом АВ находится точка D, которая соединяется линией с точкой А. Прямой угол АСD делится пополам. Из точки С проводится линия до пересечения с линией AD. Точка Е делит отрезок AD в отношении 56 : 44.
![]() |
| Рис. 8. Деление прямоугольника линией второго золотого сечения |
На рисунке показано положение линии второго золотого сечения. Она находится посередине между линией золотого сечения и средней линией прямоугольника.
Золотой треугольник
Для нахождения отрезков золотой пропорции восходящего и нисходящего рядов можно пользоваться пентаграммой.
![]() |
| Рис. 9. Построение правильного пятиугольника и пентаграммы |
Для построения пентаграммы необходимо построить правильный пятиугольник. Способ его построения разработал немецкий живописец и график Альбрехт Дюрер (1471...1528). Пусть O - центр окружности, A - точка на окружности и Е - середина отрезка ОА. Перпендикуляр к радиусу ОА, восставленный в точке О, пересекается с окружностью в точке D. Пользуясь циркулем, отложим на диаметре отрезок CE = ED. Длина стороны вписанного в окружность правильного пятиугольника равна DC. Откладываем на окружности отрезки DC и получим пять точек для начертания правильного пятиугольника. Соединяем углы пятиугольника через один диагоналями и получаем пентаграмму. Все диагонали пятиугольника делят друг друга на отрезки, связанные между собой золотой пропорцией.
Каждый конец пятиугольной звезды представляет собой золотой треугольник. Его стороны образуют угол 36° при вершине, а основание, отложенное на боковую сторону, делит ее в пропорции золотого сечения.
![]() |
| Рис. 10. Построение золотого треугольника |
Проводим прямую АВ. От точки А откладываем на ней три раза отрезок О произвольной величины, через полученную точку Р проводим перпендикуляр к линии АВ, на перпендикуляре вправо и влево от точки Р откладываем отрезки О. Полученные точки d и d1 соединяем прямыми с точкой А. Отрезок dd1 откладываем на линию Ad1, получая точку С. Она разделила линию Ad1 в пропорции золотого сечения. Линиями Ad1 и dd1 пользуются для построения "золотого" прямоугольника.
Ряд Фибоначчи
С историей золотого сечения косвенным образом связано имя итальянского математика монаха Леонардо из Пизы, более известного под именем Фибоначчи (сын Боначчи). Он много путешествовал по Востоку, познакомил Европу с индийскими (арабскими) цифрами. В 1202 г вышел в свет его математический труд "Книга об абаке" (счетной доске), в котором были собраны все известные на то время задачи. Одна из задач гласила "Сколько пар кроликов в один год от одной пары родится". Размышляя на эту тему, Фибоначчи выстроил такой ряд цифр:
| Месяцы | 0 | 1 | 2 | 3 | 4 | 5 | 6 | 7 | 8 | 9 | 10 | 11 | 12 | и т.д. |
| Пары кроликов | 0 | 1 | 1 | 2 | 3 | 5 | 8 | 13 | 21 | 34 | 55 | 89 | 144 | и т.д. |
Ряд чисел 0, 1, 1, 2, 3, 5, 8, 13, 21, 34, 55 и т.д. известен как ряд Фибоначчи. Особенность последовательности чисел состоит в том, что каждый ее член, начиная с третьего, равен сумме двух предыдущих 2 + 3 = 5; 3 + 5 = 8; 5 + 8 = 13, 8 + 13 = 21; 13 + 21 = 34 и т.д., а отношение смежных чисел ряда приближается к отношению золотого деления. Так, 21 : 34 = 0,617, а 34 : 55 = 0,618. Это отношение обозначается символом Ф. Только это отношение - 0,618 : 0,382 - дает непрерывное деление отрезка прямой в золотой пропорции, увеличение его или уменьшение до бесконечности, когда меньший отрезок так относится к большему, как больший ко всему.
Фибоначчи так же занимался решением практических нужд торговли: с помощью какого наименьшего количества гирь можно взвесить товар? Фибоначчи доказывает, что оптимальной является такая система гирь: 1, 2, 4, 8, 16...
Ряд Фибоначчи мог бы остаться только математическим казусом, если бы не то обстоятельство, что все исследователи золотого деления в растительном и в животном мире, не говоря уже об искусстве, неизменно приходили к этому ряду как арифметическому выражению закона золотого деления.
Ученые продолжали активно развивать теорию чисел Фибоначчи и золотого сечения. Ю. Матиясевич с использованием чисел Фибоначчи решает 10-ю проблему Гильберта. Возникают изящные методы решения ряда кибернетических задач (теории поиска, игр, программирования) с использованием чисел Фибоначчи и золотого сечения. В США создается даже Математическая Фибоначчи-ассоциация, которая с 1963 года выпускает специальный журнал.
Факты, подтверждающие существование золотых сечений и их производных в природе, приводит белорусский ученый Э.М. Сороко в книге "Структурная гармония систем" (Минск, "Наука и техника", 1984). Оказывается, например, что хорошо изученные двойные сплавы обладают особыми, ярко выраженными функциональными свойствами (устойчивы в термическом отношении, тверды, износостойки, устойчивы к окислению и т. п) только в том случае, если удельные веса исходных компонентов связаны друг с другом одной из золотых пропорций. Это позволило автору выдвинуть гипотезе о том, что золотые сечения есть числовые постоянные для самоорганизующихся систем. Подтвержденная экспериментально, эта гипотеза может иметь фундаментальное значение для развития синергетики - новой области науки, изучающей процессы в самоорганизующихся системах.
Принципы формообразования в природе
Все, что приобретало какую-то форму, образовывалось, росло, стремилось занять место в пространстве и сохранить себя. Это стремление находит осуществление в основном в двух вариантах - рост вверх или расстилание по поверхности земли и закручивание по спирали.
Раковина закручена по спирали. Если ее развернуть, то получается длина, немного уступающая длине змеи. Небольшая десятисантиметровая раковина имеет спираль длиной 35 см. Спирали очень распространены в природе. Представление о золотом сечении будет неполным, если не сказать о спирали.
![]() |
| Рис. 11. Спираль Архимеда |
Форма спирально завитой раковины привлекла внимание Архимеда. Он изучал ее и вывел уравнение спирали. Спираль, вычерченная по этому уравнению, называется его именем. Увеличение ее шага всегда равномерно. В настоящее время спираль Архимеда широко применяется в технике.
Еще Гете подчеркивал тенденцию природы к спиральности. Винтообразное и спиралевидное расположение листьев на ветках деревьев подметили давно. Спираль увидели в расположении семян подсолнечника, в шишках сосны, ананасах, кактусах и т.д. Совместная работа ботаников и математиков пролила свет на эти удивительные явления природы. Выяснилось, что в расположении листьев на ветке (филотаксис), семян подсолнечника, шишек сосны проявляет себя ряд Фибоначчи, а стало быть, проявляет себя закон золотого сечения. Паук плетет паутину спиралеобразно. Спиралью закручивается ураган. Испуганное стадо северных оленей разбегается по спирали. Молекула ДНК закручена двойной спиралью. Гете называл спираль "кривой жизни".
Среди придорожных трав растет ничем не примечательное растение - цикорий. Приглядимся к нему внимательно. От основного стебля образовался отросток. Тут же расположился первый листок.
![]() |
| Рис. 12. Цикорий |
Отросток делает сильный выброс в пространство, останавливается, выпускает листок, но уже короче первого, снова делает выброс в пространство, но уже меньшей силы, выпускает листок еще меньшего размера и снова выброс. Если первый выброс принять за 100 единиц, то второй равен 62 единицам, третий - 38, четвертый - 24 и т.д. Длина лепестков тоже подчинена золотой пропорции. В росте, завоевании пространства растение сохраняло определенные пропорции. Импульсы его роста постепенно уменьшались в пропорции золотого сечения.
![]() |
| Рис. 13. Ящерица живородящая |
В ящерице с первого взгляда улавливаются приятные для нашего глаза пропорции - длина ее хвоста так относится к длине остального тела, как 62 к 38.
И в растительном, и в животном мире настойчиво пробивается формообразующая тенденция природы - симметрия относительно направления роста и движения. Здесь золотое сечение проявляется в пропорциях частей перпендикулярно к направлению роста.
Природа осуществила деление на симметричные части и золотые пропорции. В частях проявляется повторение строения целого.
![]() |
| Рис. 14. Яйцо птицы |
Великий Гете, поэт, естествоиспытатель и художник (он рисовал и писал акварелью), мечтал о создании единого учения о форме, образовании и преобразовании органических тел. Это он ввел в научный обиход термин морфология.
Пьер Кюри в начале нашего столетия сформулировал ряд глубоких идей симметрии. Он утверждал, что нельзя рассматривать симметрию какого-либо тела, не учитывая симметрию окружающей среды.
Закономерности "золотой" симметрии проявляются в энергетических переходах элементарных частиц, в строении некоторых химических соединений, в планетарных и космических системах, в генных структурах живых организмов. Эти закономерности, как указано выше, есть в строении отдельных органов человека и тела в целом, а также проявляются в биоритмах и функционировании головного мозга и зрительного восприятия.
Золотое сечение и симметрия
Золотое сечение нельзя рассматривать само по себе, отдельно, без связи с симметрией. Великий русский кристаллограф Г.В. Вульф (1863...1925) считал золотое сечение одним из проявлений симметрии.
Золотое деление не есть проявление асимметрии, чего-то противоположного симметрии Согласно современным представлениям золотое деление - это асимметричная симметрия. В науку о симметрии вошли такие понятия, как статическая и динамическая симметрия. Статическая симметрия характеризует покой, равновесие, а динамическая - движение, рост. Так, в природе статическая симметрия представлена строением кристаллов, а в искусстве характеризует покой, равновесие и неподвижность. Динамическая симметрия выражает активность, характеризует движение, развитие, ритм, она - свидетельство жизни. Статической симметрии свойственны равные отрезки, равные величины. Динамической симметрии свойственно увеличение отрезков или их уменьшение, и оно выражается в величинах золотого сечения.
Наблюдать и применять
Понимание и использование принципа золотого сечения не должно быть уделом некоей элиты - это самое базовое знание, с которого начинаются бесконечно сложные законы гармонии и соизмерения. Нет границ осмысленному применению этих законов в жизни каждого дня. Выделение главного и второстепенного по отношению к целому может касаться чего угодно. Это и распределение своего времени, и любой творческий процесс, включая все виды искусства, литературу, музыку, и формирование собственного отношения к любым процессам и явлениям. Это и есть тот Золотой, срединный путь, о котором говорили древние.
Каждый художник, каждый режиссер, каждый специалист по рекламе знают, как сделать изображение приятным глазу, как построить его по законам гармонии и психологии человеческого восприятия. Порой злейшие враги культуры достигают значительных побед, используя знания о законах Природы. Так, под видом приятного, располагающего к себе мы нередко допускаем к сердцу сильнейшие яды. Столько люди говорят о свободе, тогда как сами отравляются добровольно, удивляясь потом, откуда их болезни и несчастья.
Не может быть свободы в невежестве. Грубость и неразборчивость вкуса должна преодолеваться. Пусть это будет заботой как отдельных людей, так и общин, и государств.
Составитель Р. Анненков
|
Дополнительно: |
|
Copyright © 1996-2022, Медицинская Академия Духовного Развития "МАДРА" При использовании представленной здесь информации ссылка на источник обязательна |
||
|
|
www.madra.dp.ua | Гостевая книга |
| Статистика посещаемости | Наш адрес | |
| видеоканал Dr. Evgen Semenikhin Become a Patron! | ||